2019.04.09
分享到:
鸿锦城·天逸5幢商品房摇号排序结果公示
英发寨村城中村改造项目开发DK-3-2
(鸿锦城·天逸)项目5幢商品房摇号排序结果公示
根据西安市人民政府办公厅《关于进一步加强管理保持房地产市场持续平稳健康发展的若干意见》(市政发[2017]23号)、《关于调整我市住房交易政策有关问题的通知》(市政办发[2017]59号)、《关于进一步稳定住房市场发展有关问题的通知》(市政发[2017]51号)、《关于进一步规范商品住房交易秩序有关问题的通知》的相关要求,陕西华久置业有限公司(以下简称“本公司”)开发的英发寨村城中村改造项目开发DK-3-2(鸿锦城·天逸)项目5幢商品房已取得《商品房预售许可证》(预售证号为市房预售字第2019088号)共计136套房源即将开始预售。2019年4月8日已在西安市公证处进行了意向登记客户摇号排序活动。
本次参与摇号排序客户为已在西安市商品住房购房意向登记平台登记、完成核验、公示的意向登记购房家庭共计195户,其中刚需家庭75户,普通家庭120户。
本次活动由西安公证处全程负责监督与执行,并通过网易直播平台将摇号排序过程进行了实时直播,现场邀请了4名登记购房客户代表进行监督。该摇号结果将在西安市司法局网站首页公证处栏址(
http://sfj.xa.gov.cn)西安市住房意向登记平台网(http://fgj.xa.gov.cn)及南飞鸿·鸿锦城销售现场同步公示。摇号排序结果公示如下:
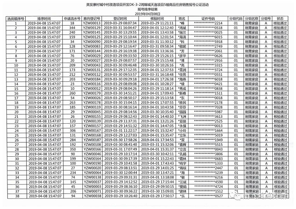
刚需家庭摇号排序结果


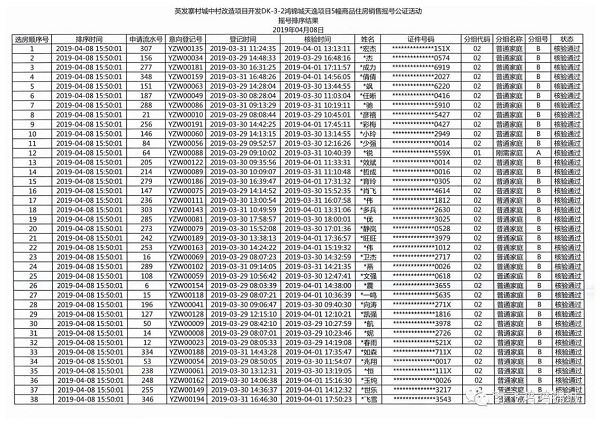
普通家庭摇号排序结果







南飞鸿实业
南飞鸿 乐荟中心


